2026年3月13日,EMA网站对亚硝胺杂质的限度进行了更新。新增了13种亚硝胺杂质的限度。
新增肾上腺素(Adrenaline)相关亚硝胺杂质6-nitro-N-nitrosoadrenaline的限度,为100ng/day。
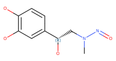
新增肾上腺素(Adrenaline)相关亚硝胺杂质N-nitrosoadrenaline的限度,为100 ng/day。
新增亚硝胺杂质N,N'-dimethylethylenedinitrosamine的限度,为18 ng/day。
新增Brensocatib相关亚硝胺杂质N-nitroso-brensocatib的限度,为1500 ng/day。
新增达比加群酯相关亚硝胺杂质N-nitroso-dabigatran etexilate amide的限度,为1500 ng/day。
新增决奈达隆相关亚硝胺杂质N-nitroso-desbutyldronedarone的限度,为1500 ng/day。
新增多虑平相关亚硝胺杂质N-nitroso-desmethyl-cidoxepin的限度,为18 ng/day。
新增地尔硫卓相关亚硝胺杂质N-nitroso-desmethyl-diltiazem的限度,为100 ng/day。
新增醋酸乌利司他相关亚硝胺杂质N-nitroso-desmethyl-ulipristal acetate的限度,为100 ng/day。
新增地西泮相关亚硝胺杂质N-nitroso-diazepam Impurity D的限度,为100 ng/day。

新增两性霉素B相关亚硝胺杂质N-nitroso-methylethylamine 的限度,为26.5 ng/day。
新增奥拉帕尼相关亚硝胺杂质N-nitroso-N-descyclopropanecarbaldehyde olaparib的限度,为400 ng/day。
新增瑞米布替尼相关亚硝胺杂质N-nitroso-remibrutinib的限度,为100 ng/day。
基于体内致突变性研究中测试为阴性,对N-亚硝基-叶酸(N-nitroso-folic acid)限度进行了调整。原限度1500 ng/day,现认为其可根据ICH Q3A/B进行控制。
基于细菌回复突变试验为阴性,对N-亚硝基-帕罗西汀(N-nitroso-paroxetine)限度进行了调整,由1300 ng/day调整至1500 ng/day。
基于细菌回复突变试验为阴性,对苄达明相关亚硝胺杂质3-(dimethylamino)propyl 2-[benzyl(nitroso)amino]benzoate的限度进行了调整,由400 ng/day调整至1500 ng/day。
明确了N-亚硝基-拉洛贝尔(N-nitroso-labetalol)的细菌回复突变试验为阴性,限度未进行调整,仍为1500 ng/day。
基于体内致突变性研究中测试为阳性,对N-亚硝基-葡甲胺(N-nitroso-meglumine)限度进行了调整。由1500 ng/day调整至100 ng/day。
基于N-亚硝基-去甲基-阿奇霉素和N-亚硝基-去甲基-克拉霉素作为替代物,基于构效关系(SAR)、理化特性和证据权重法推导了N-亚硝基-万古霉素(N-nitroso-vancomycin)的限度。原限度1500 ng/day,现认为其可根据ICH Q3A/B进行控制。
对3-((ethyl(nitroso)amino)methyl) benzenesulfonate的来源进行了矫正,明确其来源为Brilliant blue FCF。
对N-nitroso-2,4-thiazole amine的来源新增了可比司他(Cobicistat)。
上一篇 : 药物检测专业设备赋能研发 全面开放定制化检测服务
下一篇 : EMA重磅更新!13种亚硝胺杂质新增限度,8种杂质限度调整全解读